Diabetes ICD 10 – Mellitus and Insipidus
Before moving to Diabetes ICD 10, Diabetes Mellitus ICD 10, Diabetes Insipidus ICD 10 and coding guidelines with examples, first let us learn the definition of those terms for better understanding.
Diabetes is one of the most prevalent chronic conditions affecting around 463 million people across the world. This makes it one of the most frequently coded diagnosis. The two categories of Diabetes are Diabetes mellitus and Diabetes insipidus.
Diabetes mellitus:
Diabetes mellitus arises due to the body’s inability to produce enough insulin to regulate the blood glucose or the inability to effectively use the produced insulin.
Diabetes mellitus can be categorized into
- Type 1 and
- Type 2
Type 1 Diabetes mellitus is also known as Juvenile Diabetes or Insulin dependent Diabetes (IDDM). It is called “Juvenile” as this form of Diabetes appears before 18 years of age. IDDM is an autoimmune disease caused because of selective destruction of the insulin producing Beta cells of the pancreas which leads to little or no production of insulin.
Type 2 Diabetes mellitus is an adult-onset Diabetes also known as non-Insulin dependent Diabetes mellitus (NIDDM). This is the most common type of Diabetes mellitus seen in the elderly population caused due to inadequate insulin production by the pancreas or due to the inability of the body to use the insulin effectively.
The classic symptoms of Diabetes mellitus are feeling excessively thirsty and hungry, frequent urination, unintentional weight loss and fatigue, blurred vision, irritability.
Diabetes Mellitus ICD 10:
The Diabetes ICD 10 Codes are found in Chapter 4, Endocrine, Nutritional and Metabolic diseases. Diabetes mellitus ICD 10 Codes may be single or combination codes which includes the following-
- The type of Diabetes mellitus represented by the category (secondary diabetes, drug induced, type 1 or type 2)
- The affected body system
- The complications
The diabetic condition needs to be completely coded using as many codes as required to describe all the associated complications.
Diabetes ICD 10 Coding Guidelines (Source- ICD-10-CM Official Guidelines for Coding and Reporting FY 2021)





Diabetes mellitus ICD 10 Codes:

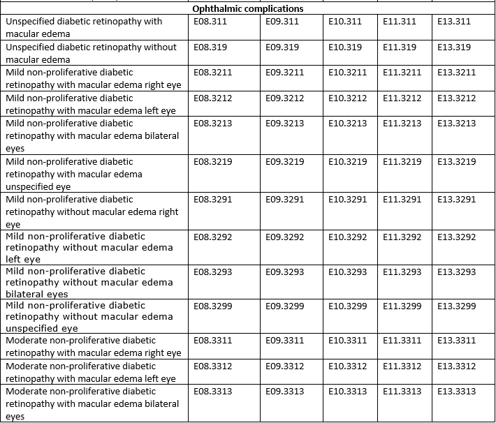
Complications of Diabetes mellitus ICD 10 codes:
Chronic diabetes mellitus leads to many complications like ketoacidosis, chronic kidney disease, peripheral neuropathies, diabetic retinopathy, diabetic cataract and other skin complications. These must be accurately coded choosing the appropriate category, complication code and additional codes from other chapters, specifying the complication. The default category for unspecified Diabetes mellitus is Type 2.




![]()





Diabetes Insipidus ICD 10 code – E23.2
Diabetes insipidus is a rare disorder of fluid metabolism in the body characterized by intense thirst and heavy urination. Deficiency of the hormone ADH produced by the hypothalamus and stored in the posterior pituitary causes this condition.
Polydipsia, polyuria, colorless urine, nocturia, bed wetting, constipation, dry skin and weak muscles are the symptoms of Diabetes insipidus.
Diabetes ICD 10 Coding examples
| Diabetes ICD 10 Example 1
A 70-year-old Type 1 Diabetic male patient visits the clinic with left foot ulcer. What will be the appropriate ICD-10-CM diagnosis codes? Ans: E10.621, L97.529 |
| Diabetes ICD 10 Example 2
A 45-year-old female patient, Annie comes to visit her physician with drug induced diabetes mellitus with severe proliferative diabetic retinopathy with macular edema of the right eye. Assign the appropriate ICD-10-CM diagnosis code for her condition. Ans: E09.3511 |
| Diabetes Mellitus ICD 10 Example 3
Peter, a 55-year-old male patient who is a chronic diabetic comes to the clinic with diabetic peripheral angiopathy with gangrene and diabetic retinopathy without macular edema. He is on insulin and oral hypoglycemic. Code the scenario with appropriate ICD-10-CM diagnosis codes. Ans: E11.319, E11.52, Z79.4 (Unspecified Diabetes mellitus is coded as type 2) |
| Diabetes Mellitus ICD 10 Example 4
A 70-year-old female patient with a long history of type 2 diabetes mellitus was admitted with hyperosmolar coma with blood sugars out of control. The insulin regimen was modified, and the patient was monitored carefully throughout her stay. She also had a diagnosis of diabetic chronic kidney disease with stage 4 chronic kidney failure and is on dialysis. The patient was discharged on a modified insulin regimen with an instruction to follow up till her diabetes stabilizes. Assign the appropriate ICD 10-CM codes for the scenario. Ans: E11.01, E11.22, N18.4, Z79.4, Z99.2 |
| Diabetes Mellitus ICD 10 Example 5
Martha, a 65-year-old female patient who was diagnosed with diabetes mellitus secondary to pancreatitis comes in with nephropathy which is a complication of her secondary diabetes. She is on oral antidiabetic drug. Code the scenario with the appropriate ICD-10-CM diagnosis codes. Ans: K85.90, E08.21 |
| Diabetes Insipidus ICD 10 Example 6
A 45-year-old male patient comes to the clinic with symptoms of nocturia, excessive thirst, uncontrolled hunger and fatigue. His blood test and urine analysis revealed that he has Diabetes insipidus. Assign the appropriate ICD-10-CM codes for his condition. Ans: E23.22 |